Фото: wirestock/freepik.com

При этом в отрасли заняты менее двух тысяч человек

За январь–сентябрь текущего года объём инвестиций в основной капитал в сфере лесоводства и лесозаготовок в РК достиг 8,8 млрд тг — в 8 раз больше (ИФО — 799,4%) по сравнению с аналогичным периодом 2024-го (1,1 млрд тг) и в 4,7 раза больше, чем за январь–сентябрь 2023 года (1,9 млрд тг). Для сравнения: в 2015–2022 годах капвложения в секторе не превышали 0,5 млрд тг. Более того: объём инвестиций в сфере лесоводства и лесозаготовок за неполный текущий год уже почти в 2 раза больше, чем за весь рекордный 2023-й (4,7 млрд тг).

Рост во многом связан с активизацией государственных программ , таких как национальный проект «Жасыл Қазақстан» и проект «Два миллиарда деревьев до 2025 года». Общий бюджет нацпроекта «Жасыл Қазақстан» за 2021–2025 годы превышает 1,4 трлн тг: от 90,7 млрд тг в 2021-м до 569,6 млрд тг в текущем году. Нацпроект затрагивает не только увеличение площади зелёных насаждений, но и улучшение экологической ситуации в целом, эффективное обращение с отходами, бережное использование воды, сохранение водных экосистем, сохранение биологического разнообразия и многое другое.

Что касается проекта «Два миллиарда деревьев до 2025 года», он направлен на воспроизводство лесов. Согласно ответу на запрос bizmedia.kz к Министерству экологии и природных ресурсов РК, на реализацию этой программы с 2021 по 2025 год было выделено 36 млрд тг. При этом из-за некачественного исполнения задачи сроки продлены до 2027-го. Отметим: на июль текущего года в рамках проекта высадили 1,4 млрд деревьев.

Резкий рост объёма инвестиций в основной капитал в сфере лесоводства и лесозаготовок в 2025 году обеспечен преимущественно за счёт государственного финансирования — как республиканского, так и из местных бюджетов. В общем объёме капвложений за январь–сентябрь на госфинансирование пришлось более 5,1 млрд тг, или около 60% всех инвестиций, в том числе 2,7 млрд тг составили средства из республиканского бюджета, 2,4 млрд тг — из местных бюджетов.

Для сравнения: за аналогичный период 2023 года доля государственного финансирования составила 22,6%, и всё оно пришлось на местные бюджеты, а основным источником капвложений были собственные средства предприятий (1,5 млрд тг). В 2024-м на средства из местных бюджетов пришлось 390,9 млн тг (или 36,2%), по республиканскому бюджету данные не были предоставлены (при этом известно, что за весь 2024 год было выделено 498,2 млн тг), а собственные средства предприятий и вовсе не привлекались.

Такая структура указывает на то, что активность частных инвесторов в секторе по-прежнему низка, а рост инвестиций — следствие работы бюджетных программ и всплеска освоения государственных средств. Вероятно, предпринимателям — особенно крупным — следовало бы активнее участвовать в озеленении и сохранении природного баланса Казахстана, учитывая важность этой задачи для будущего страны.

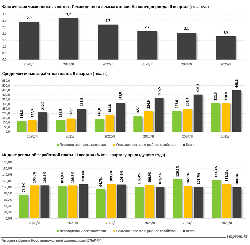
Несмотря на взрывной рост объёма капвложений, численность работников в отрасли продолжает уменьшаться. По итогам второго квартала текущего года в сфере лесоводства и лесозаготовок, по данным Бюро национальной статистики АСПиР РК, фактически были заняты всего 1,8 тыс. человек, тогда как пять лет назад их численность составляла почти 3 тыс. человек. Сокращение численности занятых в секторе может указывать на то, что новые инвестиции направлены преимущественно на автоматизацию процессов, обновление техники, закупку семян и посадочного материала, развитие инфраструктуры, а не на расширение штата.

На фоне сокращения численности работников в отрасли наблюдается резкий рост зарплат. Во втором квартале 2025-го средняя заработная плата работников сферы лесоводства и лесозаготовок составила 311,5 тыс. тг, увеличившись за год на 37%. Для сравнения: по экономике в целом рост составил 11,3%, с 403,3 тыс. до 448,6 тыс. тг, а конкретно в сегменте АПК — на 23,7%, до 310,8 тыс. тг. Это может говорить о том, что отрасли нужны более профессиональные и, соответственно, более высокооплачиваемые специалисты.

Покупательная способность зарплат в отрасли также показала заметный рост: сразу на 23,3% за год. При этом в среднем по экономике показатель вовсе не изменился. Однако, несмотря на опережающую динамику, уровень оплаты труда в сфере лесоводства и лесозаготовок всё ещё ниже среднереспубликанского: разрыв во втором квартале 2025 года составил чуть более 30%.

Между тем, согласно данным Всемирного банка, площадь лесов в Казахстане растёт — хоть и медленно, но стабильно. Показатель увеличивается с 2010 года. Если в 2010-м площадь лесов составляла 30,8 тыс. кв. км, то в 2016-м — уже 33,4 тыс. кв. км, а в 2023-м — 35,4 тыс. кв. км. Среднегодовой темп роста за рассматриваемый период — 0,9%.

С учётом масштабных программ по посадке деревьев, в том числе инициативы «Два миллиарда деревьев до 2025 года» и нацпроекта «Жасыл Қазақстан», в ближайшие годы ожидается ускорение динамики.

озеленение инвестиции лесоводство Жасыл Қазақстан